一、引言
鋰金屬以其在可充電電池中的超高理論比容量(3860 mAh·g-1)和超低氧化還原電位(相對于標準氫電極為-3.04 V)的誘人特性重新引起了人們的興趣。然而,庫侖效率(CE)不足和安全隱患仍然是限制鋰金屬負極電池(LMBs)商業化應用的主要障礙。但是由于鋰金屬上脆弱的天然固體電解質界面(SEI)很容易被鋰剝離/沉積過程中巨大的體積波動破壞,從而擾亂表面電流密度的分布,進而導致糟糕的鋰沉積形貌。此外,部分松散的鋰沉積結構,如樹枝狀和苔蘚狀形態,更有可能在鋰剝離過程中與基板斷開電連接,并作為惰性和絕緣的“死”鋰層積聚在電極表面。由于電解質和活性鋰的額外消耗,鋰枝晶和“死”鋰的形成被認為是LMBs低CE和過早失效的主要原因。更糟糕的是,劇烈的體積膨脹和Li枝晶生長不僅會破壞電極的結構,甚至會引發火災和爆炸等安全隱患。即使完全致密的Li沉積,在LMA的充電/放電過程中Li+/Li的轉化也必然伴隨著約4.8微米/mAh cm-2的理論體積變化,這可能對具有幾十個疊置電極的軟包電池造成致命的結構損壞和不期望的界面接觸。此外,有限的負/正(N/P)比對于高能量密度電池的設計至關重要,如果與商業含鋰正極匹配,則要求鋰箔的厚度低于30微米。不幸的是,在這種厚度下,Li箔的機械強度差,這使得它難以支撐自身并滿足LMBs的實際加工條件。
考慮到功能和結構兩方面的需要,有必要為鋰金屬引入一種三維(3D)主體,它不僅可以作為鋰的儲庫來承受體積波動并抑制循環過程中鋰枝晶的生長,還可以作為框架來加強鋰箔的結構穩定性和機械強度。目前在實驗室中制造了3D骨架,并且在扣式電池中驗證了顯著的進步,但是由于一些普遍的問題,例如復雜和昂貴的合成路線、超重的自身質量以及額外的表面改性和Li復合工藝,對于大多數目前的3D主體來說,難以應用于實際的LMB。此外,親鋰納米涂層(ZnO,Cu3N,NiP等)可能由于寄生反應和額外的SEI形成而導致低的初始CE,盡管它們通過降低Li成核勢壘和局部電流密度而有效地抑制Li枝晶的生長。
由金屬Li相和LiB相組成特殊富鋰 Li-LiB(記為Li-B)復合材料由于其獨特的纖維狀和超輕LiB骨架而引起了人們極大的興趣。由于在剝離游離鋰和合金化鋰時存在電位差,因此在鋰硼復合材料中的大部分游離鋰可在鋰硼脫合金化反應之前利用,從而保持骨架的穩定性。此外,熱力學穩定的LiB相與Li具有良好的相容性,可以作為親鋰骨架誘導致密的Li沉積,而不需要額外的活化過程。然而,盡管有許多優點,但離散的合金骨架在它們周圍的大部分游離Li被剝離后容易塌陷并聚集在一起,從而在有限的循環后逐漸失去3D主體的效果。
二、正文部分
成果簡介
近日,中南大學的陳立寶教授等人通過機械軋制親鋰B納米纖維負載Li-B復合材料和疏鋰不銹鋼網(SSM)制備了無樹枝狀3D復合Li負極(Li-B@SSM)。Li-B@SSM負極具有分層親鋰-疏鋰雙骨架,在2 mA cm-2下表現出99.95%的超高庫侖效率和900 h的長壽命2 mA cm-2/1 mAh cm-2。可逆的鋰剝離/電鍍過程應與穩健的親鋰-疏鋰雙骨架誘導的位點選擇性電鍍行為和空間約束效應密切相關,從而緩解了體積變化,抑制了鋰樹突的生長,減少了“死”Li的積累。更重要的是,Li-B@SSM負極的應用可行性在全電池中也得到了證實,其中Li-B@SSM|二氟乙烯4全電池在400次循環后顯示出97.5%的高容量保持率,而Li-B@SSM|S 軟包電池即使在實際惡劣的條件下也表現出良好的循環穩定性。這項工作為高效鋰金屬負極的簡單高效制備走向實際應用鋪平了道路。該研究以題目為“Highly Reversible Lithium Metal Anode Enabled by 3D Lithiophilic-Lithiophobic Dual-Skeletons”的論文發表在國際材料頂級期刊《Advanced Materials》。

圖文導讀

【圖 1】(a)Li-B@SSM復合負極制備過程示意圖。(b) Li-B和(d) Li-B@SSM的BSE圖像。(c) SSM的SEM圖像和(e)Li-B @ SSM負極的橫截面SEM圖像。(f)Li-B的x射線衍射圖(g)厚度為47 μm的大塊Li-B和Li-B@SSM單軸拉伸試驗得出的應力-應變關系

【圖 2】剝離5 mAh cm-2的Li后,(a)裸Li 、(e) Li-B 、(i) Li@SSM和(m) Li-B@SSM負極的SEM圖像。(b-d)裸Li、(f-h)Li-B、(j-l)Li@SSM和(n-p)Li-B@SSM負極在預剝離5 mAh cm-2和沉積1、3和5 mAh cm-2Li后的SEM圖像。模擬預剝離(q)裸Li、(r)Li-B、(s)Li@SSM和(t)Li-B@SSM負極的Li離子通量分布和電荷密度。所有圖像的比例尺為100 μm

【圖 3】(a)Li-B、Li-B@SSM和SSM骨架上鍍Li的電壓曲線。(B)Li-B和Li-B@SSM在2 mA cm-2和1 mAh cm-2下100次循環的平均CE測量值,基于Zhang及其同事提出的修改后的試驗方案。(c)對最近文獻中報道的消費電子產品的性能進行比較。[39-46](d)100mV恒定電壓下Li-B和Li-B@SSM負極的Tafel曲線和(e)計時電流測量。

【圖 4】在5 mA cm-2的電流密度下,在(a)裸Li、(B)Li-B和(c)Li-B@SSM電極上Li剝離/沉積過程的原位光學觀察。(d)裸Li、(e)Li-B和(f)Li-B@SSM負極的Li剝離和電鍍行為示意圖。

【圖 5】在(a) 2 mA cm-2和1 mAh cm-2,(b) 1 mA cm-2和5 mAh cm-2,(c) 3 mA cm-2和3 mAh cm-2和(d)在1 mAh cm-2的固定容量下從0.5增加到6 mA cm-2的電流密度下,對稱電池中的裸Li、Li@SSM、Li-B和Li-B@SSM的恒電流電鍍/剝離曲線。(e)在圖 (d)中的各種電流密度下,裸露的Li、Li-B和Li-B@SSM電極的相應電壓滯后。

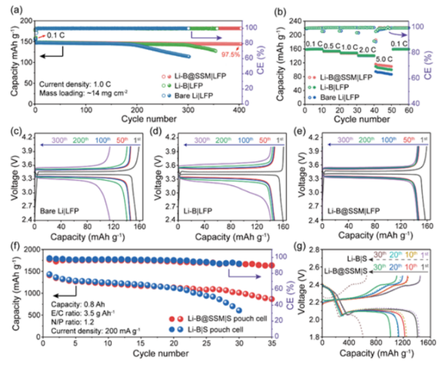
【圖 6】裸Li|LFP、Li-|LFP和Li-B@SSM|LFP全電池的電化學性能。(a)循環性能,(B)倍率性能,以及(c)裸Li|LFP,(d) Li-B|LFP和(e) Li-B@SSM|LFP在不同循環下的選定充電/放電曲線。(f)使用S作為正極的軟包電池的循環性能。(g )(f)中電池的選定充電/放電曲線。
總結和展望