金屬鋰負極的理論比容量為3860mAh/g,電位僅為-3.04V(vs標準氫電極),是一種理想的鋰離子電池負極材料,搭配高容量的正極材料,可以輕松實現400Wh/kg以上的能量密度。但是金屬鋰負極在反復的充放電過程中,由于電流分布的不均,會 引起枝晶的產生和生長,進而引起活性鋰的損失,在極端的情況下甚至刺穿隔膜,引起正負極短路,產生安全事故。
電解液設計對于金屬鋰負極界面的SEI膜成分、結構和電流分布等會產生顯著的影響。近日,清華大學的Xiang Chen(第一作者)和張強(通訊作者)對金屬鋰電池的電解液設計進行了全面的回顧,在該文章中作者從陽離子-溶劑、陽離子-陰離子和陰離子-溶劑的角度對高安全鋰金屬電池的電解液設計進行了介紹。
通常而言,氣體分子之間的相互作用力較弱,因此可以采用分子運動理論進行很好的描述,而在固體中分子之間的作用力非常強,因此可以采用固態物理的方法進行很好的描述,而在電解液中分子之間的作用力則介于兩者之間,因此無法采用兩者成熟的理論進行描述,而且電解液短程有序,長程無序的特殊結構也使得解釋電解液的內部結構變得較為復雜。
在鋰離子電池電解液中,Li+會與電解液溶劑分子、陰離子形成溶劑化的外殼,而陰離子由于較大的離子半徑和離域化電荷使得其很難形成溶劑化結構。因此電解液中的短程有序結構主要是陽離子-溶劑分子構成的,而未參與溶劑化的溶劑分子則形成了長程無序結構。
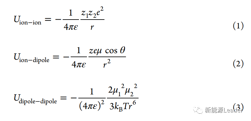
分子間的作用力主要包括離子-離子、離子-偶極子和偶極子-偶極子三種形式,在經典物理模型中,這三種力的電勢如下所示。其中ε為介電常數,ze為離子的電荷數,μ為偶極子的偶極矩,r為離子間距或偶極子的中心距,θ為偶極矩傾角,kB為Boltzmann常數,T為絕對溫度。

理論上上述的作用力能夠解釋電解液中的主要分子間作用力,但是實際情況要更為復雜,例如具有永久偶極矩的分子或離子也會受到相鄰分子或離子的作用產生誘導偶極矩。其次,即便是沒有永久偶極矩的分子,在持續電子流的作用下也會產生誘導偶極矩,其次更為重要的是在電解液中除了上述的分子間作用力外,在電子供體和電子受體之間還存在較強的化學鍵作用,這一點可以通過路易斯酸理論進行解釋,例如Li+作為一個電子受體,可以電子供體的溶劑分子相互作用,形成電子軌道的重合,而這很難通過單一的表達式進行描述。

1. 陽離子-溶劑分子相互作用
在電解液中陽離子總是會與溶劑分子形成溶劑化結構,而這種溶劑化結構對電解液的穩定性和陽離子溶解、傳輸過程都會產生顯著的影響。前線軌道理論和氧化還原電勢常被用來解釋分子結構的氧化還原穩定性,但是兩者之間存在著顯著的區別,其中前者主要是來自于獨立分子的電子結構特性,而后者則主要來自于吉布斯自由能理論。
a 還原穩定性
當分子與陽離子結合后,陽離子會吸引分子中的電子,從而使得分子的LUMO能量進一步降低,因此在陽離子溶劑化外殼結構中的分子更容易在負極表面的電子,發生還原分解反應,這也導致了電解液相對于純溶劑更容易發生還原分解。除了對分子的熱力學分析以外,人們也利用分子動力學工具從動力學角度進行了分析,以DOL溶劑為例,在與Li+溶劑化以后,其開環反應的能壘從3.0eV降低到了0.56eV,因此在電解液中溶劑會更為容易發生分解反應。

b 氧化穩定性
類似LUMO能量的變化,在溶劑分子與陽離子結合后,也會導致HOMO能量的降低,例如Li+與三甘醇二甲醚(G3)發生溶劑化后,G3的HOMO能量從-11.45eV降低到了-15.51eV,者能夠使得溶劑分子在正極一側時更難失去電子,從而提升電解液的氧化穩定性。從下圖d和e能夠看到隨著鋰鹽濃度的提高,電解液中自由溶劑分子數量逐漸降低,因此電解液的氧化分解電位也在逐漸提升。

c 溶劑設計
在電解液中不容的溶劑具有不同的特性,例如FEC相比于EC和DEC就具有更低的LUMO能量,因此更加容易在負極得電子發生分解反應。同時FEC也更容易與Li+形成溶劑化結構,從而使得FEC的LUMO能量進一步降低,因此在金屬鋰負極一側,FEC更加容易與金屬鋰發生反應,生成一層富含LiF的界面膜,通常我們認為這層界面膜能夠更好的穩定金屬鋰負極,提升金屬鋰電池的循環穩定性。
除了電化學穩定性以外,溶劑的選擇也會對電解液的結構產生影響,例如在含有EC的電解液中,隨著EC含量的增加,Li+的溶劑化結構會出現非均勻性和溶劑波動的降低,但是EC的增加也會導致電解液粘度的升高,而這兩者對于電解液離子電導率的貢獻是呈相反方向的,因此電解液中EC與電導率之間的關系并非呈單調關系。

水系電解液是近年來新興的一種鋰離子電池電解液,但是水系電解液較窄的電化學穩定窗口限制了其廣泛的應用,但是高濃度電解液的出現為水系電解液在高電壓體系中的應用提供了可能。在高濃度電解液中大部分的水分子都與Li+形成了溶劑化的外殼,因此顯著的提高了水的氧化分解電位,因此使得水溶液電解液能夠在正極一側穩定存在。由于在高濃度電解液中自由態水分子數量十分稀少,因此陰離子TFSI-也會參與到Li+的溶劑化外殼之中,因此會在負極表面形成一層富含LiF的SEI膜,因此使得水系電解液在負極的穩定電位有所降低,因此顯著的拓寬了水系電解液的電化學穩定窗口。例如21M的LiTFSI電解液的電化學穩定窗口可達3V左右,遠遠的超過了傳統的水系電解液。
2. 陽離子-陰離子的相互作用
多數鋰鹽在水溶液中通常被認為是一種強溶液,即全部陰陽離子能夠完全解離。而在有機電解液體系中,由于有機溶劑較低的介電常數使得鋰鹽在有機溶劑中通常無法完全解離,因此鋰鹽中的陽離子和陰離子之間還存在較強的相互作用,對鋰鹽的溶解、離子電導率和遷移數等都會產生顯著的影響。
a 鋰鹽的溶解度
Li+與陰離子和溶劑分子的結合能力的競爭對于鋰鹽的溶解會產生顯著的影響,例如PF6-與Li+的結合能要明顯的弱于其他陰離子(BF4-、FSI-、TFSI-、NO3-),因此相比于其他鋰鹽,LiPF6在碳酸脂類溶劑中具有非常優異的溶解性。BF4-由于與Li+之間存在較強的相互作用,因此在有機電解液中溶解性較差。FSI-、TFSI-雖然也與Li+存在較大的結合能,但是由于其較大的離子半徑,因此溶解過程中存在較大的熵變,因此促進了溶解過程的進行,使其也具有了較好的溶解度。而NO3-與Li+之間具有非常強的相互作用,因此在多數的電解液體系中LiNO3的溶解度都極低。在溶劑中DME兩個具有電負性的氧能夠同時與Li+成鍵,因此DME能夠與Li+產生極大的結合能,因此DME是一種理想的鋰鹽溶劑(包括LiNO3),同時由于DME具有較低的介電常數,因此Li+與陰離子之間的結合并未被顯著的削弱。
由于LiNO3能夠形成更為穩定的SEI膜,并促進金屬鋰負極均勻的沉積,因此是一種常用的金屬鋰電池添加劑,但是LiNO3在酯類溶劑中較差的溶解性限制了其大規模應用。EC溶劑的介電常數為89.8,甚至要高于水的介電常數,因此對于LiNO3具有更好的溶解性。但是EC熔點較高,在常溫下呈現固體狀態,為了降低電解液的熔點,通常我們會在電解液中加入部分的DMC,但是DMC較低的介電常數使得LiNO3很難在其中溶解,為了解決這一問題,我們可以首先在高溫下,將LiNO3溶解在EC之中,然后再加入DEC,從而使得電解液在常溫下保持液態,能夠有效的提高LiNO3在酯類溶劑中的溶解性。

b 局部高濃度電解液
在稀溶液中大部分的Li+都能夠與溶劑形成溶劑化結構,隨著電解液濃度的升高,自由溶劑分子數量逐漸減少,同時陰離子也會參與到Li+的溶劑化外殼之中,從而在負極表面生成一層無機成分含量更高的SEI膜,但是高濃度電解液會導致電解液粘度的升高和成本升高。為了能夠保持高濃度電解液的優勢,同時避免其存在的缺陷,人們在高濃度電解液中引入一些與Li+作用較弱的溶劑,因此雖然表觀上電解液的濃度有所降低,但是實際上Li+的溶劑化結構并未發生改變,因此這種局部高濃度電解液維持了高濃度電解液的優勢,同時提升了電解液的電導率,降低了電解液粘度。

c 陰離子設計
通過調控溶劑化外殼中陰離子能夠控制鋰鹽的溶解性和界面特性,例如NO3-與Li+具有更大的結合能,并且能夠同時與兩個Li+結合,因此能夠形成更大的團簇。更為重要的是,NO3-的引入還會對Li+與FSI-的結合方式產生影響,在不含NO3-時,FSI-通過Li-O和Li-N鍵與Li+進行結合,但是引入NO3-后,FSI-還會通過Li-F鍵進行結合,從而促進在負極形成富含LiF的SEI膜,改善金屬鋰電池的循環穩定性。
相比于Li-溶劑結合方式,Li-陰離子的結合方式更為復雜,首先陰離子通常會通過多個結合位點與Li+進行結合,此外陰離子也能夠同時與兩個Li+進行結合,從而產生更大的團簇,從而對電解液的結構產生更多的影響,最后Li-陰離子的結合通常更為緊密,同時也對電解液的溶劑環境更為敏感,因此Li-陰離子的相互作用會對電解液的溶劑化結構、體相傳輸和界面反應產生更為顯著的影響。

3. 陰離子-溶劑相互作用
水溶液同時具有親電子和親核的屬性,而有機溶劑體系通常 僅具有親核屬性,因此有機溶劑通常具有較低的介電常數,為了能夠獲得理想的溶解度,因此我們通常采用大直徑的鋰鹽。因此在有機電解液中陰離子與溶劑分子的作用力較弱,通常我們認為在大部分的情況下,陰離子都未發生溶劑化。
a 陰離子的溶劑化
通常我們認為具有更多的受體數或者裸漏正電荷位置的溶劑分子能夠與陰離子形成強的相互作用,例如三(五氟苯基)硼烷(TPFPB)中的B元素作為電子受體,BF4−和PF6−形成較強的相互作用。此外,陰離子也更傾向與環狀溶劑結合,因為環狀溶劑具有更強的極性。但是由于陰離子與溶劑分子之間較弱的作用力,因此我們仍然很難定義陰離子的溶劑化外殼。但是我們仍然能夠從理論上對陰離子溶劑化的影響進行分析 ,首先溶劑分子與陰離子發生溶劑化之后,氧化穩定性降低,還原穩定性提高,其次溶劑化后會使得陰離子的遷移速度降低,從而提升電解液的遷移數,有利于鋰離子電池倍率性能的提升。第三是陰離子溶劑化之后,能夠促進鋰鹽的溶解,提升鋰鹽的濃度;最后,在陰離子溶劑化之后,Li+-溶劑化結構會發生改變,從而對電解液的結構和界面反應產生影響。

4. 電解液設計新理論
a Li鍵理論
H鍵是廣為熟知的一種分子間強相互作用力,而研究表明在Li的供體和受體之間也會形成Li鍵。Li鍵理論的引入,為含鋰體系的研究提供了一種全新的視角,例如在Li-S電池中鋰的多硫化物能夠通過Li鍵固定在碳骨架上,從而減少了硫在正負極之間的穿梭效應。但是H鍵和Li鍵還是存在著顯著的區別的,例如H鍵更接近于共價鍵,但是Li鍵則主要是靜電特性,并且沒有方向性,因此Li鍵比H鍵的強度更高,同時Li在Li鍵中具有更好的分享特性,因此Li+能夠更好的在Li鍵中遷移。

b 高通量篩選技術
隨著第一性原理工具的應用,因此我們能夠將高通量篩選的工具應用在電解液設計之中,我們可以通過理論計算對電解液的屬性進行了解,例如氧化還原電位、鋰鹽溶解度和熱穩定性等屬性,從而減少了我們需要進行的試驗,提升電解液的設計效率,降低電解液的開發成本。
在應用高通量篩選技術時,我們首先需要掌握一個龐大的物性參數數據庫,但是目前一些物性參數通過理論計算獲取的成本仍然較高,例如離子電導率、帶隙等,通過機械學習的方法我們可以用較低的成本構建分子結構-特性之間的關系。

電解液對于構建穩定、安全的鋰金屬二次電池具有至關重要的作用,Xiang Chen通過對電解液中陽離子-溶劑分子、陽離子-陰離子和陰離子-溶劑分子的相互作用對高穩定金屬鋰電解液的設計進行了分析,可以幫助我們更好的進行金屬鋰二次電池電解液設計。
本文主要參考以下文獻,文章僅用于對相關科學作品的介紹和評論,以及課堂教學和科學研究,不得作為商業用途。如有任何版權問題,請隨時與我們聯系。
Atomic Insights into the Fundamental Interactions in Lithium Battery Electrolytes, Acc. Chem. Res. 2020, 53, 1992−2002, Xiang Chen and Qiang Zhang
美國ION公司固態電池新突破:超125次循環,容量衰減低于5%2024-03-11 22:56
|
電池圈里,沒有共同富裕2023-05-17 09:20
|
鋰離子電池隔膜的主要性能參數有哪些?2023-01-24 18:18
|
技術層面的鋰電好產品是否一定能幫公司業績兌現?2023-01-24 18:16
|
鋰電產業如何利用視覺檢測系統降本增效?2023-01-24 18:11
|
電動車市場開啟降價潮, 問界與小鵬之后零跑跟風!2023-01-24 18:10
|
震?萍紨M3億元投建鋰電池鋁殼生產項目2023-01-10 15:53
|
簡述寧德時代的電池技術斷代2022-09-06 09:32
|
鉛酸、鎳鎘、鎳氫、鋰電池優缺點對比2022-06-21 08:42
|
為廢舊電池開疆拓土!廢舊NCM與雙功能催化劑實現夢幻聯動!2022-05-19 11:46
|

微信公眾號