摘要:發展高性能新型電解質是解決傳統鋰離子
電池安全性和能量密度不足等問題的重要途徑。液晶具有液體的流動性和晶體的各向異性,可以與鋰鹽混合制備液晶電解質,通過自組裝形成柱狀相、近晶相或雙連續立方相等納米偏析結構,為Li+的傳輸提供高效的離子傳輸通道,在鋰離子
電池中具有十分廣闊的應用前景。盡管液晶電解質在鋰離子電池中的應用研究已經取得了一些進展,但目前國內外尚未有詳細的報道來總結其發展現狀。因此,本文通過對相關文獻的探討,介紹了液晶電解質的研究進展,重點描述了Li+在非離子型和離子型液晶電解質中的離子傳輸機制,同時對應用于鋰離子電池體系中的液晶電解質的電化學性能進行了總結。綜合分析表明,液晶電解質可以通過進一步調控液晶分子的結構以及添加液態增塑劑等方式來提高其電化學性能,有望應用于高性能的鋰離子電池體系。最后,本文對液晶電解質面臨的挑戰和未來可能的發展趨勢進行了分析與展望。
鋰離子電池(lithium ion batteries, LIBs)具有能量密度高、使用壽命長、環境友好等諸多優勢,被廣泛應用于便攜式電子設備和規模能量儲存系統等。這類商業化的鋰離子電池通常使用易燃、易揮發的液態有機電解質,存在較多安全隱患。因此,開發具有高離子電導率的非揮發性電解質至關重要。然而,無機電解質界面阻抗較高,大批量制備困難且成本高昂;以聚環氧乙烷(PEO)為代表的固態聚合物電解質具有較低的室溫離子電導率,限制了其實際應用。
近年來,液晶電解質的研究受到了諸多關注。該電解質特有的有序自組裝結構能夠提供高效的離子傳輸路徑,有望大幅提升離子電導率。雖然,目前對于液晶電解質的研究取得了一定的進展,但仍面臨諸多挑戰,例如大多數液晶電解質的離子導電率仍處于較低水平,難以滿足商業化應用的要求,亟待進一步提升。另外,對近年來液晶電解質發展現狀的評述國內外尚未報道。因此,詳細地總結和評述液晶電解質的研究進展,對這類電解質的發展具有重要的指導意義。
本文首先介紹了液晶電解質的基本特征和分類,其次詳細總結了目前液晶電解質在鋰離子電池中的應用進展;其中,本文重點闡述了Li+在液晶電解質中的傳輸機制,并總結了液晶電解質基鋰離子電池的電化學性能。最后,在文末對液晶電解質面臨的挑戰和未來可能的發展趨勢進行了分析與展望。
1 液晶電解質的基本特征及分類
物質在改變外界條件下從晶體向液態轉變時,會先失去位置有序獲得液體的易流動性, 但仍保留部分晶態物質具有的各向異性取向的有序排列,形成了一種兼具晶體和液體部分性質的中間態,這種中間態被稱之為液晶。其中晶體與液晶所特有的各向異性是指液晶的全部或部分化學、物理等性質隨著方向的改變而有所變化,在不同的方向上呈現出差異。而氣體,液體以及非晶態物質則顯示為各向同性,即其化學與物理性質不隨方向的改變而改變。由于液晶的各向異性,其通過自組裝行為形成的柱狀、近晶或雙連續立方相等液晶納米偏析結構可以提供有序的鋰離子傳輸通道,進而影響電池的電化學性能(圖1)。
圖1 液晶的柱狀相,近晶相,雙連續立方相
目前報道的液晶電解質根據液晶分子的結構類型可以分為非離子型和離子型液晶電解質。非離子型液晶電解質是由非離子液晶分子和鋰鹽組成的離子絡合物。離子型液晶電解質是指電解質中含有離子型液晶分子。這兩類液晶電解質都可以形成柱狀相、近晶相或立方相結構,從而為Li+的傳輸提供一維、二維或三維的離子傳輸通道。一般來說,采用DSC可以確定液晶相的形成溫度,而偏光顯微鏡(polarizing microscope, POM)可以直接觀察到液晶相的形成及其取向結構。其中,在柱狀相中,離子傳導沿著柱狀軸的方向進行傳遞;在近晶相中,離子傳輸發生在近晶相層內;而在立方相中,離子通過形成的有序三維孔道進行傳輸。本文主要介紹液晶分子作為主體的電解質材料,對于液晶分子作為添加劑的電解質未予以介紹。下文將對兩類液晶電解質在鋰離子電池中的應用進展進行具體介紹。
2 液晶電解質的應用
2.1 非離子型液晶電解質在鋰離子電池中的應用
液晶分子結構包括離子傳輸功能和介晶兩部分。離子傳輸功能部分主要由極性基團(如環狀碳酸酯,PEO鏈段等)組成,有利于Li+的解離和傳輸;而介晶部分通常決定了有序納米通道的形成,影響離子傳輸的速率。圖2中系統總結了報道的液晶電解質中非離子型液晶分子1-11的結構。2009年,Shimura等設計了一種以介電常數較高的環狀碳酸酯作為離子傳輸功能性基團的扇形液晶分子1。將其與三氟甲烷磺酸鋰(lithium trifluoromethanesulfonate, CF3SO3Li)混合制備液晶電解質,經X射線衍射(X-ray diffraction, XRD)測試發現該液晶電解質呈六方柱狀相,可以形成一維的離子傳導通道。在22 °C未施加交流電時,該液晶電解質呈多疇結構,離子電導率為2.2×10-8 S/cm。持續施加交流電90 min后,柱狀相液晶電解質進一步發生有序排列形成平行于電場的單疇結構[圖3(a)],此時其離子電導率相對于未施加電場的液晶電解質提升了4.3倍。該結果表明,平行于電場的單疇柱狀相液晶結構更有利于Li+的傳輸。在此基礎上,Rieger等開發了一種以碳酸丙烯酯(PC)為單元,利用多氟芳香環作為介晶核的液晶分子2,并將其與雙三氟甲烷磺酰亞胺鋰(LiTFSI或LiTf2N)進行混合形成呈近晶相的液晶電解質。經研究表明,2b與10% LiTFSI(摩爾分數)混合制備的液晶電解質在平行于近晶相層的電導率(1.5×10-5 S/cm)相比垂直于近晶相層的電導率(1.2×10-7 S/cm)提高了125倍[圖3(b)],這歸因于Li+在近晶相層層間的遷移受到了一定的阻礙。相比于Shimura小組制備含有環狀碳酸酯基團的柱狀相液晶電解質,該電解質的離子電導率提高了三個數量級。以上結論表明,近晶相液晶電解質的二維排列相比于柱狀相一維排列可以提供更多的離子傳輸路徑,因此傾向于具有更高的離子電導率。作者通過擴散系數的測定和理論計算得出液晶分子上的環狀碳酸酯基團可以促進鋰鹽的解離,且Li+在液晶電解質中的傳輸機制可能為從一個位點跳躍到另一個位點。且經研究發現,2b與10% LiTFSI混合形成的液晶電解質相比于2a和2c組成的液晶電解質具有更高的離子電導率(2.9×10-5 S/cm,55 °C),這歸因于其近晶相結構可以形成更加有序的叉指單層排列。
圖2 非離子型液晶分子
圖3 基于液晶分子1-4的液晶電解質的離子傳輸機制示意圖
2014年Kato課題組Sakuda等報道了一種以環狀碳酸酯為離子傳輸功能性基團的液晶分子3,并將其與LiTFSI混合形成液晶電解質。通過XRD表征發現該電解質可以形成間距d約為47 Å(1Å=0.1 nm)的層狀近晶相液晶結構,其大小約為液晶分子3長度的2倍,表明該液晶電解質可自組裝形成二維離子傳輸通道,有利于鋰離子的傳輸[圖3(c)]。經測試發現,該電解質在60 °C下的離子導電率約為10-4 S/cm。另外,作者將該電解質應用于Li/LiFePO4(LFP)和Li/Li4Ti5O12電池體系發現該電解質能夠實現電池的可逆充放電循環,但其循環性能較差,亟待進一步改善。另外,在本工作中,作者發現液晶分子3形成的液晶電解質相比于具有相同介晶部分但以四乙二醇基團作為離子傳輸功能性基團的棒狀液晶分子4形成的液晶電解質顯示出更高的氧化穩定性。為了進一步提升離子電導率,2018年該課題組向3/LiTFSI電解質體系中引入液態塑化劑碳酸乙烯酯(EC)或PC形成三元電解液體系。經研究發現,該電解質可以形成近晶相液晶結構,為Li+提供了二維的離子傳輸通道[圖3(d)]且離子電導率隨著EC含量的增加而逐漸提高。在60 °C下,含有29% EC(質量分數)的液晶電解質[1/EC(29)]的離子電導率可達5.5×10-4 S/cm,是不含EC液晶電解質的20倍,而含有32% PC的液晶電解質[1/PC(32)]的離子電導率與1/EC(29)電解質幾乎相同。以上結果表明在液晶電解質中,引入液態塑化劑分子能夠進一步提升離子電導率。作者對該電解質進行了CV測試,發現1/EC(29)電解質的氧化分解電壓為3.9 V。此外,作者評價了不同EC含量(8%,16%,29%質量分數)和含有32% PC的液晶電解質組裝的LFP/Li電池在25 °C 和60 °C下的電池性能。結果表明,在60 °C下1/EC(29)電解質顯示出優異的倍率性能[圖4(a)]。另外,由于1/EC(29)和1/PC(32)電解質的高離子電導率使得其組裝的LFP/Li電池在25 °C下均顯示出較高的倍率性能,其中Li/1/EC(29)/LFP電池在5 mA/g電流密度下的的放電比容量為136 mA·h/g,在25 mA/g電流密度下的放電比容量為100 mA·h/g[圖4(b)]。該結果表明,向液晶電解質中引入液態塑化劑是提升其離子電導率的有效手段。

圖4 (a) 60 °C下Li/LC電解液/LFP電池在2.7~3.8 V (vs Li/Li+)電壓范圍內的倍率性能。電解質體系為:1/EC(29)、1/EC(16)以及1/EC(8);(b) 25 °C下Li/LC電解液/LFP電池在2.7~3.8 V (vs Li/Li+)電壓范圍內的倍率性能。電解質體系為:1/EC(29)以及1/PC(32)
此外,Bogdanowicz等首次開發了以酯基為離子傳輸功能性基團的液晶分子5a-b與LiTFSI混合而成的液晶電解質。經測試發現該液晶電解質的電化學窗口約為0~4 V (vs. Li/Li+),并將其應用于LiCoO2/Li4Ti5O12電池體系中,實現了Li+的可逆沉積/溶解。遺憾的是,作者沒有對該液晶電解質的液晶相行為及其離子傳輸機制進行詳細研究。
鑒于EO鏈段具有較高的鋰鹽解離和鋰離子傳導能力,在液晶分子中引入PEO鏈段,通過形成微相分離結構形成高效的離子傳輸通道,從而進一步提高其離子電導率。2013年,Imrie等報道了一種以苯并菲結構為主鏈且含有PEO(MW=2000 g/mol)片段的盤狀液晶三嵌段共聚物6。液晶分子6可形成包含六方柱狀相和富PEO相的相分離結構,有利于Li+的快速傳輸。作者將液晶分子6與LiClO4復合形成液晶電解質(AO:Li質量比為6:1,其中AO指活性氧)并測試了其離子電導率隨溫度的變化情況。結果顯示,該電解質在較低溫度下離子電導率較低,當溫度高于70 °C時,離子電導率顯著提升,這與微相分離結構中可傳導Li+的富PEO相熔化有關。當溫度為93 °C時,該電解質的離子電導率高達10-4 S/cm;當溫度進一步冷卻時,該電解質的離子電導率明顯下降,5 °C時離子電導率僅為10-7 S/cm,這歸因于富PEO相較高的結晶度。為了進一步提升離子電導率,Ober等設計和合成了一種由四個噻吩環和PEO單元組成的液晶分子7。該液晶分子中噻吩環間的π-π相互作用可實現液晶分子的自組裝,使其在室溫下自發形成具有二維離子傳輸通道的高度有序近晶相結構且四寡聚噻吩相和PEO相之間可形成相分離結構,有利于Li+傳輸。將7與LiTFSI以[Li]/[EO]=0.05的比例混合制備液晶電解質,經研究發現該電解質在70 °C時的離子導電率高達5.2×10-4 S/cm。鑒于氟代PEO鏈段的氧原子與Li+更弱的配位作用,Onuma等設計合成了分別含有全氟代或未氟代PEO鏈段的液晶分子8a-b,將其與LiTFSI混合制備液晶電解質,并研究了氟代PEO鏈段對該電解質離子電導率的影響。結果表明,這兩種電解質在室溫下均可形成有序的近晶相結構,且8b基電解質(10-5 S/cm)相比于8a基電解質(10-6 S/cm)具有更高的離子電導率。作者認為造成這一結果的原因是由于氟取代PEO不能與Li+配位,因此降低了Li+的解離和傳輸性能。2019年,Osuji等開發了一種可形成近晶相結構的含有PEO鏈段的嵌段共聚物薄膜液晶電解質[9/LiClO4,圖5(a)],并研究了該電解質的不同液晶取向對其離子電導率的影響。結果表明,垂直于近晶相層的離子電導率高于平行于近晶相層或無序取向的電導率且隨著鋰鹽濃度的提高,電導率呈現先增加后降低的趨勢[圖5(b)、(c)]。作者將這種高鋰鹽濃度下電導率降低的原因歸因于離子-離子間的強相互作用以及液晶垂直取向的近晶相有序程度的降低。

圖5 (a)嵌段共聚物的形態液晶分子9分子結構的示意圖;(b)對于具有不同EO單元與鋰離子比率的樣品,其室溫電導率與層狀液晶取向的函數;(c)電導率數據的線性統計圖,以具有垂直取向的樣品的電導率為基準(綠色條)
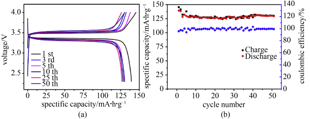
與上述的線性液晶聚合物相比,支化結構的液晶分子可以有效防止鏈段的結晶,增加聚合物的自由體積,有利于形成更高效的離子傳輸路徑。張廖運等通過原子轉移自由基聚合(atom transfer radical polymerization, ATRP)的方式,設計合成了一種可控結構的盤狀液晶(discotic liquid-crystalline, DLC)分子—六臂星形共聚物10。將其與LiTFSI混合并經退火制備了自支撐固態聚合物電解質(Solid Polymer Electrolyte, SPE)膜。經退火后的SPE膜,其苯并菲中心核之間強π-π的相互作用可以誘導柔性臂形成六方柱狀相液晶結構。作者通過差示掃描量熱法(differential scanning calorimetry, DSC)測量了SPE膜的玻璃化轉變溫度(Tg),結果表明10/LiTFSI ([EO]/[Li]=24)SPE的Tg為-43.74 °C且SPE膜的Tg隨著鋰鹽含量的增加而升高,這主要歸因于LiTFSI與聚乙二醇單甲醚丙烯酸酯(PEGMA)中EO片段的配位作用抑制了PEO鏈段的擺動。經研究發現10/LiTFSI ([EO]/[Li]=24) SPE的離子電導率最高(退火后的離子電導率在30 °C時可達1.94×10-4 S/cm)。同時,相比于PEO基電解質的低鋰離子遷移數(0.1~0.3),該電解質的鋰離子遷移數(0.37)也得到了有效提升,其原因在于該液晶聚合物電解質提供了高效的鋰離子傳輸路徑。另外,對該電解質進行LSV測試發現其電化學窗口為0~5.1 V (vs. Li/Li+),表明該SPE具有優異的氧化穩定性。作者通過交流阻抗測試對聚合物電解質和鋰電極之間的界面穩定性進行了評估。結果表明,SPE膜的界面阻抗隨著時間逐漸減小,且在25天后趨于穩定,這表明該SPE與鋰負極具有良好的相容性。為了進一步探究SPE的電池性能,作者組裝LFP/10/LiTFSI ([EO]/[Li]=24)/Li電池,測試了其在60 °C條件下的循環性能(圖6)。結果顯示,該電池的充電電壓平臺(3.49 V)與放電電壓平臺(3.36 V)之間的電壓差僅為0.13 V,表明電解質與電極界面具有良好的兼容性。在0.1 C倍率下該電池的初始充、放電比容量分別為145 mA·h/g和139 mA·h/g,首圈庫侖效率為96%;經50圈循環后放電比容量保持在130 mA·h/g,庫侖效率接近100%。該研究表明支化液晶聚合物電解質具有高離子電導率以及優異的循環穩定性,具有較大的應用潛力。

圖6 (a)Li/DLC-[(PS)23-b-(PPEGMA)10]6/LiTFSI ([EO]/[Li] =24)/LFP在0.1C下的充放電曲線;(b)LFP/Li電池在0.1C倍率下的長循環性能
最近,童永芬課題組開發了一種包含八臂液晶共聚物(8-PEG-MALC)、八臂聚乙二醇(8-PEG)和聚乙二醇丙烯酸酯(PEGDA)的復合液晶全固態聚合物電解質薄膜(11/LiTFSI)。其中,支化的8-PEG結構可確保較高的離子電導率;8-PEG-MALC可以調節復合電解質的膜形態,為離子傳輸提供有效的路徑;而PEGDA單元賦予聚合物電解質良好的力學性能。研究表明,該復合聚合物電解質可以通過液晶共聚物自組裝形成納米級微相分離結構,有利于Li+傳輸。另外,加入30% 8-PEG-MALC的液晶電解質膜經退火后室溫下離子電導率為6.2×10-5 S/cm,電化學窗口為0~4.5 V (vs. Li/Li+)。作者組裝了LFP/8-PEG-MALC-30/Li電池并在95 °C下測試了其0.1 C倍率下的循環性能,該電池的初始放電比容量為147.9 mA·h/g,循環20次后,容量保持率為95.3%。以上結論表明,該聚合物電解質具有優異的電化學性質有望應用于固態聚合物鋰電池中。
2.2 離子型液晶電解質在鋰離子電池中的應用
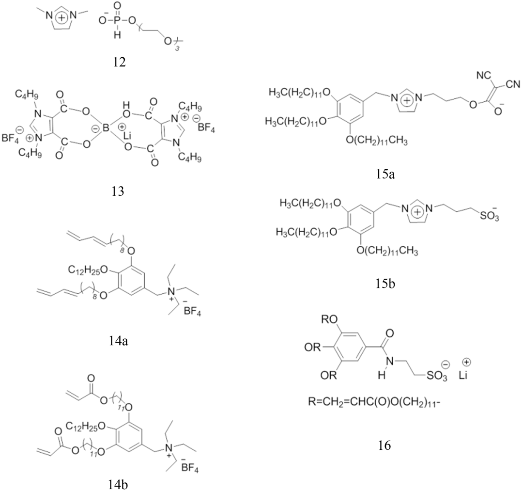
離子型液晶電解質通常是由離子型液晶分子與鋰鹽復合而成,具有高熱穩定性、阻燃性以及較高的抗氧化性等優點。近年來,對于離子型液晶電解質的Li+傳輸機制的研究已經取得一定進展。圖7總結了離子型液晶分子12-16的結構。Lee等在2016年報道了一種含有EO片段的亞磷酸咪唑鎓鹽室溫離子型液晶分子12,將其與LiTf2N混合形成了離子型液晶電解質,當鋰鹽的濃度在0.4~1.4 mol/L之間時,該液晶電解質呈有序的近晶相結構。一般來說,提高鋰鹽的濃度會增加離子液體電解質的黏度,導致離子電導率的降低,但該離子型液晶電解質的離子電導率測試結果卻與之相悖。隨著鋰鹽濃度的增加,該離子型液晶電解質的離子電導率逐漸增大,當鋰鹽濃度為1.0 mol/L時,該離子型液晶電解質黏度最大,呈穩定的近晶相結構且顯示出最高的離子電導率(圖8)。作者利用脈沖梯度場核磁共振技術(pulsed field gradient-nuclear magnetic resonance, PFG-NMR)研究了Li+在該電解質中的擴散行為,發現在該離子型液晶電解質中Li+沿疇界的快速運輸行為是導致這種現象的原因。且通過對鋰鹽濃度為1.0 mol/L的液晶電解質進行核磁共振(nuclear magnetic resonance, NMR)分析,發現其近晶相的形成是由亞磷酸根負離子與Li+之間的離子-離子(庫侖)相互作用導致的。隨后,作者利用線性掃描伏安法(linear sweep voltammetry, LSV)測試了該離子型液晶電解質的氧化穩定性。結果顯示,該液晶電解質的電化學窗口為0~5 V (vs. Li/Li+),表明這種離子型液晶電解質有望應用在高電壓鋰電池中。令人遺憾的是,盡管該離子型液晶電解質具有優異的電化學性質,但是作者沒有對該電解質進行電池性能的研究。
圖7 離子型液晶分子
圖8 (a) 液晶和離子混合物在不同鹽濃度下的溫度與離子電導率圖;(b) 20 °C 時[DMIm][MPEGP]和LiTf2N離子混合物的相圖和離子電導率對鋰鹽濃度(x)變化的曲線
2018年,王繼亮等合成了一種新型鋰鹽LiBIB(13),其中LiBIB中的咪唑鎓鹽硼酸鋰結構可與咪唑環上的柔性烷基鏈通過超分子自組裝形成液晶相。研究表明,該鋰鹽在無增塑劑的條件下也可顯示出較高的離子電導率(30 °C下達到3.02×10-3 S/cm),且通過Vogel-Fulcher-Tamman(VFT)方程計算發現LiBIB比PEO類電解質顯示出更低的活化能(0.25 eV)。作者認為LiBIB具有較高的離子電導率的原因可能為LiBIB中BIB-較大從而削弱了Li+與BIB-之間的相互作用。因此,LiBIB與傳統的鋰鹽相比可以獲得較高的鋰離子遷移數(約0.56)。另外,作者通過LSV測試發現該電解質的氧化分解電壓在6 V以上。以上結果表明,離子型液晶鋰鹽可以形成快速的離子傳輸通道,具有高離子電導率、高離子遷移數以及寬的電化學窗口,有望應用于全固態鋰電池中。
近年來,具有雙連續立方相的液晶電解質由于其可形成三維的離子傳輸通道而受到科學家們的關注。例如,Kato課題組于2011年報道了兩種含有季銨鹽單元的液晶分子14a-b。通過小角X射線散射(Small-angle X-ray Scattering, SAXS)和POM證實了14b可形成雙連續立方相和六方柱狀相的液晶結構[圖9(a)],而14a沒有觀察到任何介晶行為。將14b與LiBF4以摩爾比4∶1混合,通過紫外光照射進行原位光聚合反應,分別制備了具有柱狀相和雙連續立方相結構的液晶電解質薄膜,并對它們的離子電導率進行對比研究。結果顯示,在90 °C時,具有雙連續立方相結構的液晶電解質薄膜的離子電導率為3.1×10-4 S/cm,是柱狀相液晶電解質薄膜的4倍[圖9(b)],這歸因于雙連續立方相液晶電解質薄膜可形成高效的三維離子傳輸通道,從而獲得較高的離子電導率。
圖9 (a)液晶材料的鋰離子傳輸機制示意圖;(b)聚合物膜的離子電導率隨溫度的變化;(A)雙連續立方相的聚合物;(B)形成非有序各向同性的聚合物膜;(C)無序的柱狀相聚合物膜;(c)納米結構的液晶材料的鋰離子傳輸機制示意圖;混合物離子電導率隨溫度的變化;(c)1(15a)/Li+(50)PC(y)和(d)2(15b)/Li+(50)PC(y)。y表示PC的含量;(e)液晶分子16與PC-LiClO4溶液交聯形成的雙連續立方相的固液納米復合材料示意圖
為了降低離子型液晶電解質體系的黏度來進一步提高其離子電導率,引入液態小分子(如環狀碳酸酯等)被證明是一種有效的策略。Kato課題組合成了兩種咪唑鎓鹽結構的離子型液晶分子(15a-b)。將它們與50% LiTFSI和10% PC(摩爾分數)混合制備了離子型液晶電解質。經研究發現,這兩種電解質均可以自組裝形成一維和三維的高效Li+傳輸通道[圖9(c)],在100°C時的離子電導率均處于10-4 S/cm水平,明顯高于不含PC的電解質[10-8~10-7 S/cm,圖9(d)~(e)]。此外,Gin等報道了一種通過光聚合反應制備的離子型液晶聚合物電解質(16/PC/LiClO4的質量比為84∶15∶1)。該電解質可形成雙連續立方相的液晶結構[圖9(f)],為Li+的傳輸提供了有序的三維傳輸通道。該電解質在室溫下離子電導率可達10-3 S/cm,且在-35 ℃時也具有良好的離子導電性(約10-4 S/cm)。以上結果表明,向離子型液晶電解質中引入液態塑化劑,可進一步提升離子電導率。
3 結語
總之,液晶電解質能夠自組裝形成有效的鋰離子傳輸通道,為高性能電解質的開發提供了新的途徑,因此受到科學家們的關注。通過總結非離子型和離子型液晶電解質的研究進展(表1)可知:①其自組裝形成的柱狀相、近晶相或雙連續立方相的納米偏析結構能夠為Li+傳輸提高有效的傳輸通道;②非離子型液晶電解質可以通過調控液晶分子的離子傳輸功能區結構(如引入PEO鏈段或設計支化骨架結構)來獲得較高的離子電導率;③無論非離子型和離子型液晶電解質都可以通過引入液態塑化劑(如PC、EC等)來提高其離子傳輸性能;④離子型液晶電解質由于具有高的熱穩定性和阻燃性,有望解決傳統液態有機電解質存在的安全問題。
表1 不同液晶之間的性能對比
然而,盡管目前對于液晶電解質的研究取得了一定的進展,但仍面臨著許多挑戰。①目前報道的液晶電解質的離子電導率仍然處于較低的水平(在10-4 S/cm左右),亟待提高。通過合理地調控液晶的分子結構來獲得較高的離子電導率是未來重要的研究方向之一。例如,設計具有較低結晶度的支化PEO結構的液晶電解質,有望獲得較高的離子電導率。另外,向液晶電解質中加入液態塑化劑如磷酸酯等有望提高其離子電導率和安全性能。②目前液晶電解質與電極的相容性以及電池性能的測試和評價鮮有報道,還需要進行更多更深入的探究。③目前報道的室溫液晶電解質較少。因此,如何調控液晶分子結構來獲得室溫液晶電解質將是未來重要的研究方向。④通過合理的結構設計,液晶聚合物電解質有望兼具優異的力學和電化學性能,未來可能應用于高能量密度的鋰電池中。新型液晶聚合物電解質的設計和制備將成為該領域研究的熱點。
總體來說,液晶電解質因其特殊的介晶結構提供了高效的Li+傳輸通道,為高性能鋰電池的開發提供了新的方案。另外,液晶分子在分子設計上的多樣性使得這類電解質具有巨大的發展潛力。相信在不久的將來,液晶電解質將在高性能鋰電池的實際應用中取得更大進展。
引用本文: 李昕桐,張霖琛,張煥瑞等.液晶電解質在鋰離子電池中的應用進展[J].儲能科學與技術,2020,09(06):1595-1605.
LI Xintong,ZHANG Linchen,ZHANG Huanrui,et al.Research progress of liquid-crystalline electrolytes in lithium ion batteries[J].Energy Storage Science and Technology,2020,09(06):1595-1605.
第一作者:李昕桐(1995—),女,碩士研究生,研究方向為電化學能源材料,E-mail:371762482@qq.com;張霖。1996—),男,碩士研究生,研究方向為電化學能源材料,E-mail:1791923672@qq.co1m;通訊作者:張煥瑞,助理研究員,研究方向為電化學能源材料,E-mail:zhanghr@qibebt.ac.cn;張波濤,教授,研究方向為生物化工,E-mail:botaozhang@yeah.net;崔光磊,研究員,研究方向為電化學能源材料,E-mail:cuigl@qibebt.ac.cn。
(責任編輯:子蕊)