
鋰電池電極是一種顆粒組成的涂層,均勻的涂敷在金屬集流體上。鋰離子電池極片涂層可看成一種復合材料,主要由三部分組成:
(1)活性物質顆粒;
(2)導電劑和黏結劑相互混合的組成相(碳膠相);
(3)孔隙,填滿電解液。
各相的體積關系表示為:
孔隙率 + 活物質體積分數 + 碳膠相體積分數=1
鋰電池極片的設計是非常重要的,現針對鋰電池極片設計基礎知識進行簡單介紹。

例如,LiFePO4摩爾質量157.756 g/mol,其理論容量為:

這計算值只是理論的克容量,為保證材料結構可逆,實際鋰離子脫嵌系數小于1,實際的材料的克容量為:
其中,涂層的面密度是一個關鍵的設計參數,壓實密度不變時,涂層面密度增加意味著極片厚度增加,電子傳輸距離增大,電子電阻增加,但是增加程度有限。厚極片中,鋰離子在電解液中的遷移阻抗增加是影響倍率特性的主要原因,考慮到孔隙率和孔隙的曲折連同,離子在孔隙內的遷移距離比極片厚度多出很多倍。

N/P要大于1.0,一般1.04~1.20,這主要是處于安全設計,防止負極側鋰離子無接受源而析出,設計時要考慮工序能力,如涂布偏差。但是,N/P過大時,電池不可逆容量損失,導致電池容量偏低,電池能量密度也會降低。
而對于鈦酸鋰負極,采用正極過量設計,電池容量由鈦酸鋰負極的容量確定。正極過量設計有利于提升電池的高溫性能:高溫氣體主要來源于負極,在正極過量設計時,負極電位較低,更易于在鈦酸鋰表面形成SEI膜。

a. 真密度指粉體質量除以不包括顆粒內外空隙的體積(真實體積),求得的密度。即排除所有的空隙占有的體積后,求得的物質本身的密度。
b. 顆粒密度指粉體質量除以包括開口細孔與封閉細孔在內的顆粒體積,求得的密度。即排除顆粒之間的空隙,但不排除顆粒內部本身的細小孔隙,求得的顆粒本身的密度。
c. 堆積密度,即涂層密度,指粉體質量除以該粉體所組成涂層的體積,求得的密度。其所用的體積包括顆粒本身的孔隙以及顆粒之間空隙在內的總體積。
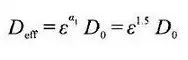
其中,D0表示材料本身固有擴散(傳導)率,ε為相應相的體積分數,τ為相應物相的迂曲率。在宏觀均質模型中,一般采用Bruggeman關系式,取系數ɑ=1.5來估計多孔電極的有效物性。
電解液填充在多孔電極的孔隙中,鋰離子在孔隙內通過電解液傳導,鋰離子的傳導特性與孔隙率密切相關。孔隙率越大,相當于電解液相體積分數越高,鋰離子有效電導率越大。而正極極片中,電子通過碳膠相傳輸,碳膠相的體積分數,碳膠相的迂曲度又直接決定電子有效電導率。
孔隙率和碳膠相的體積分數是相互矛盾的,孔隙率大必然導致碳膠相體積分數降低,因此,鋰離子和電子的有效傳導特性也是相互矛盾的,如圖2所示。隨著孔隙率降低,鋰離子有效電導率降低,而電子有效電導率升高。電極設計中,如何平衡兩者也很關鍵。

極片制造中常用的在線檢測技術包括漿料特性檢測、極片質量檢測、尺寸檢測等方面,比如:(1)在線粘度計直接安裝在涂布儲料罐內實時檢測漿料的流變特性,檢測漿料的穩定性;(2)采用X射線或β射線在涂布工藝中直接測量獲得涂層的面密度,其測量精度高,但輻射大、設備價格高且維護麻煩;(3)激光在線測厚技術應用于測量極片的厚度,測量精度可達±1. 0μm,還能實時顯示測量厚度及厚度變化趨勢,便于數據追溯和分析;(4)采用CCD視覺技術檢測極片的表面缺陷,即采用線陣CCD 掃描被測物,圖像實時處理及分析缺陷類別,實現對極片表面缺陷的無損在線檢測。
在線檢測技術作為質量控制的工具,理解缺陷與電池性能之間的相關性也是必不可少的,這樣才能確定半成品合格/不合格標準。
后面部分對鋰離子電池極片表面缺陷的檢測技術新方法-紅外熱成像技術以及這些不同缺陷與電化學性能之間的關系簡單介紹。參考D. Mohanty等對此進行的深入研究。
圖3是鋰離子電池極片表面常見的缺陷,左邊是光學圖像,右邊是熱成像儀捕捉的圖像。

圖 3 極片表面常見缺陷: (a、b)凸起包/團聚體;(c、d)掉料/針孔;(e、f)金屬異物;(g、h)不均勻涂層
(a、b)凸起包/團聚體,如果漿料攪拌不均勻或涂布供料速度不穩定時就會產生此類缺陷。粘合劑和碳黑導電劑的團聚體會導致活性成分含量低,極片重量輕。
(c、d)掉料/針孔,這些缺陷區域沒有涂層,通常是由漿料中的氣泡產生的。它們減少了活性物質的量,并使集流體暴露在電解液中,從而降低了電化學容量。
(e、f)金屬異物,漿料或者設備、環境中引入的金屬異物,金屬異物對鋰電池的危害巨大。尺寸較大的金屬顆粒直接刺穿隔膜,導致正負極之間短路,這是物理短路。另外,當金屬異物混入正極后,充電之后正極電位升高,金屬發生溶解,通過電解液擴散,然后再在負極表面析出,最終刺穿隔膜,形成短路,這是化學溶解短路。電池工廠現場最常見的金屬異物有Fe、Cu、Zn、Al、Sn、SUS等。
(g、h)不均勻涂層,如漿料攪拌不充分,顆粒細度較大時容易出現條紋,導致涂層不均勻,這會影響電池容量的一致性,甚至出現完全沒有涂層的條紋,對容量和安全性均有影響。





圖8 正極不均勻涂層、以及金屬異物Co和Al對電池倍率容量和庫倫效率的影響



干貨來啦!13個動力電池壽命安全問題答疑2021-11-16 09:26
|
干貨 | 軟包電池測試分析案例2021-07-01 10:50
|
鋰電池極片設計及表面缺陷分析2021-06-03 11:34
|
PPT | 鋰電池設計原則及工序控制2021-03-15 11:38
|
500Wh/kg高比能金屬鋰電池負極設計2020-10-15 20:26
|
廣汽豐田iA5電池系統設計2020-10-08 13:29
|
圖解寶馬iX3的電池模組設計和制造2020-09-16 21:50
|
拆解豐田自主設計的BEV電池系統2020-09-09 11:31
|
從材料、設計和工藝三方面搞懂鋰電池安全技術2020-06-16 10:50
|
鋰離子電池極片輥壓工序詳解2020-05-04 15:09
|

微信公眾號