目前存在的原位檢測析鋰的方法只能檢測充電完成后和不可逆損傷已經發生情況下的析鋰。在本工作中,作者提出了在大倍率鋰化過程以石墨電極的特征電位最小值作為一種檢測析鋰發生的評估手段。雖然其他研究表明電池的快速自熱可以導致這種類型的“電壓超調”,但通過溫度控制的紐扣電池實驗證實,這種電壓曲線也可以由嚴重的析鋰引起。在顯示電壓超調的電池中,石墨電極上存在宏觀可見的析鋰膜,導致單周庫侖效率非常差。通過在原位光學顯微鏡電池中直接觀察析鋰的發生,證實了該電壓特性的意義。作者觀察到,在多孔電極結構內的大型金屬鋰沉積的增長會導致石墨電極的膨脹和開裂,表明嚴重析鋰的一個重要后果是由于機械電極退化而導致的活性物質損失。

下圖為0℃,以C/2鋰化至20、40、60、80和100%SOC的(a)電壓對SOC和(b)弛豫電壓分布。弛豫曲線中的平臺說明存在析鋰的重新嵌入,表明顯著的可逆析鋰只有在達到最低電壓后才會發生。在20%和40%SOC的電壓弛豫曲線中沒有出現平臺,而在60%、80%和100%SOC的電壓弛豫曲線中出現平臺。在電壓弛豫曲線中沒有出現平臺,說明在靜置階段,沒有顯著的可逆鋰重新嵌入石墨中,但不能說明是否發生了析鋰。

在達到最小電壓(20,40% SOC)之前,電極上只觀察到孤立的析鋰熱點。這些熱點可能與制造過程中由于粒度變化引起的電極固有的微觀結構不均一性和干燥過程的隨機性有關,這可能導致電極的某些區域比其他區域經歷更高程度的鋰化。當電壓超過最小值(60,80,100% SOC)時,膜狀鍍層會蔓延到電極表面。

在達到最低電壓(下圖a-c)之前,粒子表面可識別出核狀鋰鍍層。當電壓超過最小值(下圖d-f)時,在電極表面形成樹枝狀鍍層。根據文獻中報道的其他結果,即使在沒有最低電壓的情況下也可以出現樹突,因為鋰鍍層的形態取決于石墨顆粒的表面形態、電解質成分和添加劑,甚至是電池中存在的微量氧化物質。因此,可以確定的是,電壓最小值代表了嚴重的、宏觀上可觀察到的任何形態的鋰電鍍的開始,這足以改變電極的動力學特性,以緩解一些電池極化。

接著作者用石墨工作電極和鋰箔對電極組裝了原位光學顯微鏡電池。在1.5 mA和環境溫度下對半電池放電。圖(a-e)顯示了在石墨鋰化過程中不同點的靜止幀和光學半電池的相關電壓曲線。與紐扣電池相比,由于更大的電極間距,在光學電池中觀察到更大的極化,這導致歐姆電阻和電解質濃度梯度的增加。無論如何,在放電期間存在相同的特征電壓最小值。在電壓出現最低值(圖b)時觀察到少量的石墨體積膨脹,這可以歸因于夾層的鋰石墨材料以及在石墨表面金屬鋰核的形成和生長。在電壓最小值點,表面上看不到析鋰,但是在圖(b)中每一側的石墨上都出現了小凸起,這表明石墨表面下開始出現樹枝狀析鋰。隨著放電的進行,圖c中膨脹增加,直到下面的鋰金屬(圖d)突破石墨的表面。一旦表面突破,鋰的橫向生長速率會增加,直到電流被移除(圖e)。

不同溫度下石墨半電池的放電電壓對SOC的關系曲線見下圖。在所有溫度下,可以觀察到隨倍率增加而產生的更大過電位的趨勢,從而導致電池電壓下降。如下圖a所示,在30°C的C/10倍率下,觀察到石墨開路電位曲線的三個特征平臺。表明電池運轉緩慢,既沒有電解液擴散、也沒有固相擴散的限制發揮作用,在放電的整個過程中,電極發生平滑的兩種相變(V>0)。在C/2和1C的倍率下,很明顯第二個平臺期(對應于階段2L到2)過渡時間縮短,電壓曲線連續向下傾斜轉變。與液態階段相比,由于第1階段和第2階段石墨彌散明顯較慢,在第二個平臺期,第1階段石墨在電極的某些部分被引入,這種行為可以被歸類為“第一階段超調”。此外,在非常高的SOC(95%)下觀察到曲線變平,這表明析鋰很可能發生在這段時間。當C-rate增加到3C時,在電壓曲線上明顯存在的只有第一個平臺,且多數放電為多相共存狀態。在61% SOC時,曲線達到最小值,之后電壓逐漸增大。
當溫度降至20℃時,如圖b所示,所有倍率下的過電位均比30°C的過電位大,因為電池內的反應動力學和轉運過程在較低的溫度下減慢。20℃時的C/10電壓曲線不受擴散限制,可清楚地鑒別所有三種石墨特有的平臺。在C/2倍率下,在第二階段早期再次發生第1階段的超調,在高SOC時曲線趨于平穩,表明開始析鋰。1C電池顯示了30% SOC之前的相位超調,電壓曲線在77%SOC時達到最小值,而3C時電池表現類似,但極化幅度更大,電壓最低點出現在更早的36% SOC。在這兩種情況下,僅從電壓曲線上就能預料到發生了大量的析鋰。
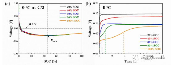
在10°C(圖c), C/10電壓曲線存在三個平臺,但它們的長度略有縮短,在95% SOC左右曲線變平。在C/2的情況下,在階段2L到2平臺的開始出現相超調,在76%SOC時出現明顯的電壓最小值。在0°C的情況下,過電位和擴散限制進一步增加(圖d),甚至C/10電池也顯示多相形成,在50% SOC前電壓低于0.0V。0℃的3C電池最極端,預計出現最多的樹枝狀析鋰,在7%SOC時就已經出現最低電壓。

在靜息10小時后,以C/20的速率去鋰(給半電池充電),并獲得單個循環的庫侖無效率(CI),以此來定量每個電池經歷的降解。CI的定義是1-去鋰容量/鋰化容量。對于以C/10速率放電的電池,觀察到高度可逆性,CI值從0℃時的1.1%輕微增加至30℃時的2.3%。CI隨溫度的非單調增加可以用低溫下析鋰量增加和高溫初生SEI和次生SEI生長加速的競爭機制來解釋?紤]到松弛期間觀察到明顯的再插入平臺,C/10電池在0°C時表現出異常低的CI結果令人驚訝。在這種情況下,表明幾乎所有的析鋰容量都是可恢復的。此外,與相同倍率下的高溫情況相比,低溫導致初生和次生SEI增長率的降低,循環的整體可逆性得到了改善,這種結果挑戰了多數人認為在低溫下充電對石墨總是更有害的觀點。
在C/2速率下,0°C組的CI最高,20°C組的CI最低。C/2電池上可見不可逆析鋰的數量隨溫度下降而單調增加,這與CI的趨勢一致,除了30°C的情況。在高于環境溫度的條件下,CI的增加是由于一次和二次SEI兩者的生長加速所致。此外,在高溫下電解質的傳輸特性改善可能導致沿電極深度更均勻的析鋰量,從而限制了我們觀察電極表面不可逆析鋰的能力。在1C溫度下觀察到同樣的趨勢,低溫造成明顯的不可逆析鋰損耗,高溫下由于SEI的快速增長導致損失增加。只有3C的CI隨溫度的降低而單調增加。在該倍率下,不可逆的析鋰成為退化的主要模式,所有溫度的CI值都非常高,從30℃的12.6%增加至0℃的29.6%。
析鋰通常被認為是插層的副反應。由于反應的平行性質,其行為類似于復合電極,各電化學活性相的電位開始影響電極的整體電位。隨著鋰鍍層的增長,可發生析鋰反應的表面面積增加。這在具有異常高的比表面積的枝晶形態尤其明顯。同時,析出的鋰將覆蓋部分石墨顆粒,減少可用插層反應的表面積。此外,樹突出現后可近似忽略SEI膜阻,因為Li+不再需要通過初級SEI擴散尋找有利的反應位點。在金屬鋰中也觀察到類似的現象,所有這些因素都導致了主導反應從嵌入到析鋰的轉變。隨后,嵌入反應對電極電位的影響逐漸減小,析鋰反應的影響增加。電極的極化逐漸減小,從而產生了最小電壓的特性。
參考文獻:In Operando Detection of the Onset and Mapping of Lithium Plating Regimes during Fast Charging of Lithium-ion Batteries; Conner Fear, Tanay Adhikary, Rachel E. Carter, Aashutosh N. Mistry, Corey T. Love, and Partha P. Mukherjee.
800V高壓系統對電池的影響2021-05-27 08:51
|
繆靈團隊:抑制釩基水系鋅離子電池正極材料溶解的原位CEI包覆策略2021-05-05 15:45
|
如何原位測量超快充條件下鋰離子電池的內部溫度2021-01-04 09:31
|
孔隙率、涂布量對NCM622電極快充性能的影響2020-09-28 11:20
|
Model 3 基于加熱的快充電池熱管理策略2019-12-29 16:05
|
歐陽明高:從材料到系統鋰離子電池快充技術全面總結2019-09-20 09:40
|
限制鋰離子電池快充能力因素評估2019-01-08 08:59
|
鋰電池熱的"冷"思考:現今的電動汽車能快充嗎?2018-10-22 17:01
|
無膜電池將顛覆電動汽車行業快充技術2017-06-08 15:53
|

微信公眾號